乙醇酸氧化酶测试盒说明书
注意:正式测定之前选择 2-3 个预期差异大的样本做预测定。
测定意义
乙醇酸氧化酶(EC1.1.3.15)是植物光呼吸代谢中的关键酶,也是光下合成草酸的关键酶,它催化乙醇酸氧化生成乙醛酸,对研究光呼吸代谢过程及其调控具有重要意义。
测定原理
乙醇酸氧化酶催化乙醇酸氧化生成乙醛酸,乙醛酸和盐酸苯肼反应生成乙醛酸苯腙,在 324nm 有特征吸收峰。
自备实验用品及仪器
天平、低温离心机、紫外分光光度计、1mL 石英比色皿。
试剂组成和配制
提取液:液体 50mL×1 瓶,4℃保存。
试剂一:液体 35mL×1 瓶,4℃保存。
试剂二:粉剂×1 瓶,4℃避光保存,临用前加 10mL 双蒸水溶解;用不完的试剂分装后-20℃保存,禁止反复冻融。
试剂三:液体 5mL×1 瓶,4℃保存。
酶液提取
按照组织质量(g):提取液体积(mL)为 1:5~10 的比例(建议称取约 0.1g 组织,加入 1mL 提取液),进行冰浴匀浆。12000g, 4℃离心 10min,取上清,置冰上待测。
测定操作表

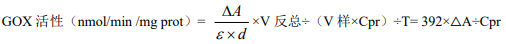
酶活性计算公式
1.按照蛋白浓度计算
酶活性定义:每毫克蛋白每分钟氧化 1 nmol 乙醇酸所需的酶量为一个酶活力单位。

2.按照样本质量计算
酶活性定义:每克组织每分钟氧化 1 nmol 乙醇酸所需的酶量为一个酶活力单位。

ε:乙醛酸苯腙毫摩尔消光系数:17L/mmol/cm;d:比色皿光径,1cm;V 反总:反应总体积,1mL;V 样:反应中样本体积,0.05mL;V 样总:加入提取液体积,1mL;Cpr:样本蛋白浓度,mg/mL;W,样本质量,g;T:反应时间,3min
注意事项
1. 测定之前进行预实验,若吸光值较高,请将样品用提取液进行适当的稀释再测定,并在计算公式中乘以稀释倍数。
2. 色素含量较高的样品,可在提取酶时加活性炭吸附。
仅用于科研,不能用于临床诊断!所有产品仅供科研使用,不得用于人或动物的治疗等任何其他用途,不为任何个人提供产品和服务。以实际收货产品说明书为准,网站说明书仅供参考。
在线客服1号



